مسعود پزشکیان و سعید جلیلی با ۴۲٫۵٪ و ۳۸٫۶٪ آراء راهی مرحله دوم انتخابات ریاستجمهوری ۱۴۰۳ شدند؛ اما محاسبات نشان میدهد این دو برای پیروزی در مرحله اول انتخابات، به حدود ۴ میلیون یا ۶ میلیون رأی بیشتر نیاز داشتند!
ذوالفقار دانشی- به دنبال اعلام نتایج نهایی دور اول انتخابات ریاستجمهوری ۱۴۰۳ در روز ..
مسعود پزشکیان و سعید جلیلی با ۴۲٫۵٪ و ۳۸٫۶٪ آراء راهی مرحله دوم انتخابات ریاستجمهوری ۱۴۰۳ شدند؛ اما محاسبات نشان میدهد این دو برای پیروزی در مرحله اول انتخابات، به حدود ۴ میلیون یا ۶ میلیون رأی بیشتر نیاز داشتند!
ذوالفقار دانشی- به دنبال اعلام نتایج نهایی دور اول انتخابات ریاستجمهوری ۱۴۰۳ در روز شنبه ۹ تیر، مطالبی در شبکههای مجازی دستبهدست میشود مبنی بر اینکه اگر مسعود پزشکیان فقط ۱ میلیون و ۹۰۰ هزار رأی بیشتر میآورد، پیروز انتخابات میشد یا اگر سعید جلیلی ۲ میلیون و ۹۰۰ هزار رأی بیشتر میآورد، انتخابات را در همان مرحله به سود خود به پایان میبرد.
اما چنین تفسیر و ادعایی از آمار درست نیست!
همانطور که در نمودار سهم آرای نامزدها در انتخابات روز جمعه ۸ تیر میبینید، از حدود ۲۴ میلیون و ۵۳۵ هزار نفری که در انتخابات شرکت کردند، ۴۲٫۵ درصد به مسعود پزشکیان و ۳۸٫۶ درصد به سعید جلیلی رأی دادند.

اگر قرار بود انتخابات با همین جمعیت شرکتکننده در مرحله نخست به سرانجام برسد، نامزد پیروز میبایست دستکم یک رأی بیشتر از نصف آرا به دست میآورد، یعنی ۱۲ میلیون و ۲۶۷ هزار و ۵۹۳ رأی یا بالاتر؛ پزشکیان میبایست ۱ میلیون و ۸۵۲ هزار رأی (تقریباً ۱٫۹ میلیون) از سبد آرای جلیلی، قالیباف، پورمحمدی و باطله را به نفع خود جذب میکرد یا جلیلی میبایست ۲ میلیون و ۷۹۴ هزار و ۳۰۰ رأی (۲٫۸ میلیون رأی) از سبد آرای پزشکیان، قالیباف، پورمحمدی و باطله را به سبد آرای خود اضافه میکرد.
اما چنین فرضی، اشتباه است!
اگر قرار بود شرکتکنندگان در انتخابات روز جمعه رأی خود را عوض کنند که همان روز به فرد دیگری رأی داده بودند! برای محاسبه درست باید توجه داشت که افزایش آرای نامزد موردنظر، افزایش تعداد کل آراء را هم به دنبال دارد و معیار نصف آراء هم از نظر عددی بالا میرود.
بدین منظور، فرض میکنیم که تعداد آرای روز جمعه برای هر نامزد ثابت است و مسئله را به این شکل تغییر دهیم که چند نفر دیگر میبایست مثلاً به مسعود پزشکیان رأی میدادند تا او برنده دور اول انتخابات باشد؟
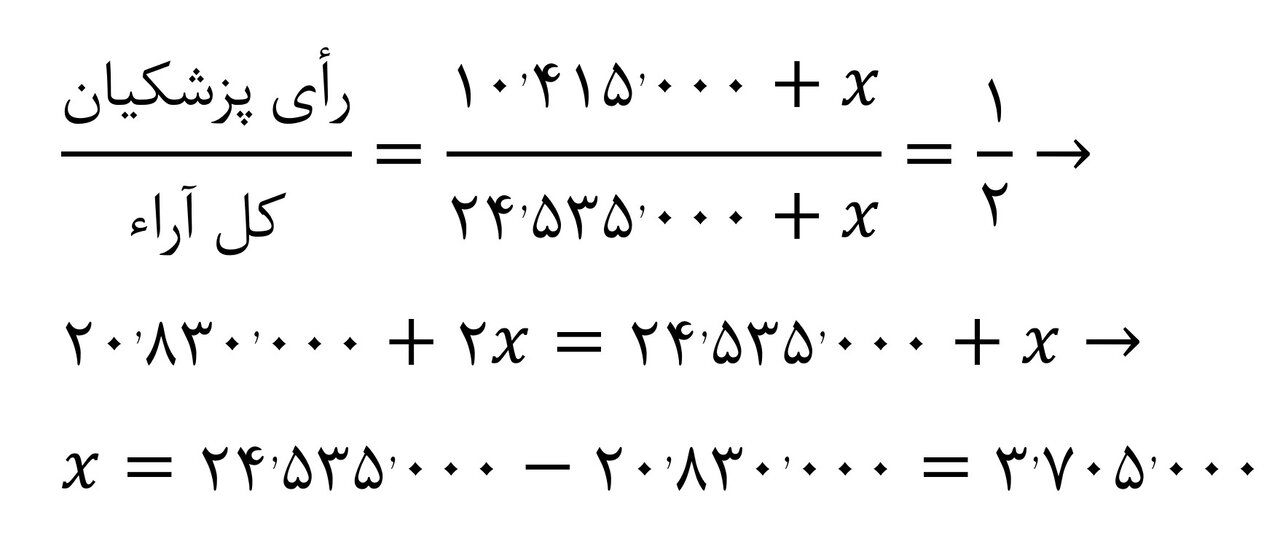
حل این مسئله از نظر ریاضی به این ترتیب است. مسعود پزشکیان ۱۰ میلیون و ۴۱۵ هزار رأی دارد؛ x نفر دیگر در انتخابات شرکت میکنند و همه آنها به شخص مسعود پزشکیان رأی میدهند. با این حساب، رأی پزشکیان برابر x + ۱۰٬۴۱۵٬۰۰۰ و مجموع آراء برابر ۲۴٬۵۳۵٬۰۰۰ + x خواهد بود. سهم رأی پزشکیان از مجموع آرا باید دستکم نصف باشد:

با این حساب، مسعود پزشکیان به دستکم ۳ میلیون و ۷۰۵ هزار رأی دیگر نیاز داشت که همگی به او رأی بدهند تا او بتواند به عنوان رئیسجمهور جدید انتخاب شود. دراین حالت، پزشکیان از مجموع ۲۸ میلیون و ۲۴۰هزار نفر، ۱۴ میلیون و ۱۲۰هزار رأی را به دست میآورد که ۵۰٪ آراء را شامل میشد. اگر رأی دیگر نامزدها را ثابت در نظر میگرفتیم، جلیلی ۳۳٫۵٪، قالیباف ۱۲٪، پورمحمدی ۰٫۷ درصد و آرای باطله ۳٫۷ آراء را به خود اختصاص میداد.

اگر همین محاسبات را برای سعید جلیلی انجام دهیم، او به حضور ۵ میلیون و ۶۸۹ هزار شرکتکننده دیگر نیاز داشت تا همگی به او رأی بدهند و او بتواند نصف آراء را تصاحب کند.
واضح است که هرچه سهم مشارکت بالاتر برود، تعداد آراء لازم هم برای گذر از مرز ۵۰٪ بیشتر خواهد شد.
شاید بپرسید که چرا این حسابوکتاب مهم است؟
در حال حاضر که پزشکیان و جلیلی به مرحله دوم راه یافتهاند، برخی کارشناسان سیاسی (که از اشتباه بودن تحلیلها و برآوردهایشان از میزان مشارکت و سهم نامزدها بهتزدهاند) در مورد تقسیم سبد آرای قالیباف و پورمحمدی و چگونگی هدایت آن حدود ۳ میلیون و ۶۰۰ هزار رأی و حتی برنامهریزی برای آن یکمیلیون رأی باطله سخن میگویند؛ اما آنها برای خوشبینانهترین حالت برنامهریزی میکنند.
هرکدام از این دو نامزد و مشاورانشان بهتر است با این فرض برنامهریزی کنند که تمام سهم آرای محمدباقر قالیباف، مصطفی پورمحمدی و آرای باطله ممکن است صد درصد به سبد رقیب سرازیر شود و آنها باید به جذب آرای تازه و افزایش مشارکت فکر کنند تا شانس پیروزی در مرحله دوم را افزایش دهند. درست است که معیار پیروزی در مرحله دوم، اکثریت نسبی است، اما برنامهریزی و راهبرد اشتباه (همانطور که نتیجه آن در مرحله نخست انتخابات مشاهده شد) شکست سختی را به همراه خواهد داشت.
۵۴۵۴


















































